HBW Brinell Hardness Testing
Brinell Hardness Testing - In this test a standard constant load, usually 500 to 3,000 kg,
is applied to a smooth flat metal surface by a hardened steel ball type
indenter, 10 mm in diameter. The 500-kg load is usually used for testing
nonferrous metals such as copper and aluminum alloys, whereas the 3,000-kg load
is most often used for testing harder metals such as stainless steel tube and cast irons. The
numerical value of Brinell Hardness (HB), is equal to the load, divided by the
surface area of the resulting spherical impression.
The Brinell hardness test consists of indenting the test material with a 10 mm diameter hardened steel or carbide ball subjected to a load of 3000 kgf (29 430 N). For softer materials the load can be reduced to 1500 kgf (14 715 N) or 500 kgf (4 905 N ) to avoid excessive indentation. The full load is normally applied for 10 to 15 seconds for harder ferrous metals and 30 seconds for other metal softer metal. The diameter of the indentation left in the test material is measured with a microscope.
The Brinell hardness number is calculated by dividing the load applied by the surface area of the indentation.

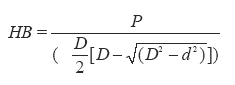
Where P is the load, in kg; D is the diameter of
the ball, in mm; and d is the diameter of the indentation, in mm.
What does Brinell hardness number mean?
A chart is then used to convert the averaged diameter measurement to a Brinell hardness number. Test forces range from 500 to 3000 kgf. A Brinell hardness result measures the permanent width of indentation produced by a carbide indenter applied to a test specimen at a given load, for a given length of time.
|